
EXECUTIVE SUMMARY
Context

Adapting IEEE 1584-2002 Arc Flash Study Results to a Post IEEE 1584-2018 Risk Assessment
This presentation is a based on a paper presented at the IEEE 2020 Electrical Safety Workshop in March 2020.
Adapting IEEE 1584-2002 Arc Flash Study Results to a Post IEEE 1584-2018 Risk Assessment
This presentation is a based on a paper presented at the IEEE 2020 Electrical Safety Workshop in March 2020.

Key Takeaways
Old Arc-Flash Studies
What should organizations do with their old arc-flash studies and PPE selections?
Continued Use of 2002 Arc-Flash
Is it ok to continue using 2002 arc-flash studies and PPE selections until the organization conducts a 2018 arc-flash study?
Ignoring
IEEE 1584-2018
What are the risk assessment and control implications of ignoring IEEE 1584-2018?
Adequate PPE
for Workers
Based on the new science, do workers have adequate PPE for the potential severity of an arc-flash event?
Old Arc-Flash Studies
What should organizations do with their old arc-flash studies and PPE selections?
Continued Use of 2002 Arc-Flash
Is it ok to continue using 2002 arc-flash studies and PPE selections until the organization conducts a 2018 arc-flash study?
Ignoring
IEEE 1584-2018
What are the risk assessment and control implications of ignoring IEEE 1584-2018?
Adequate PPE
for Workers
Based on the new science, do workers have adequate PPE for the potential severity of an arc-flash event?
Old Arc-Flash Studies
What should organizations do with their old arc-flash studies and PPE selections?
Continued Use of 2002 Arc-Flash
Is it ok to continue using 2002 arc-flash studies and PPE selections until the organization conducts a 2018 arc-flash study?
Ignoring
IEEE 1584-2018
What are the risk assessment and control implications of ignoring IEEE 1584-2018?
Adequate PPE
for Workers
Based on the new science, do workers have adequate PPE for the potential severity of an arc-flash event?

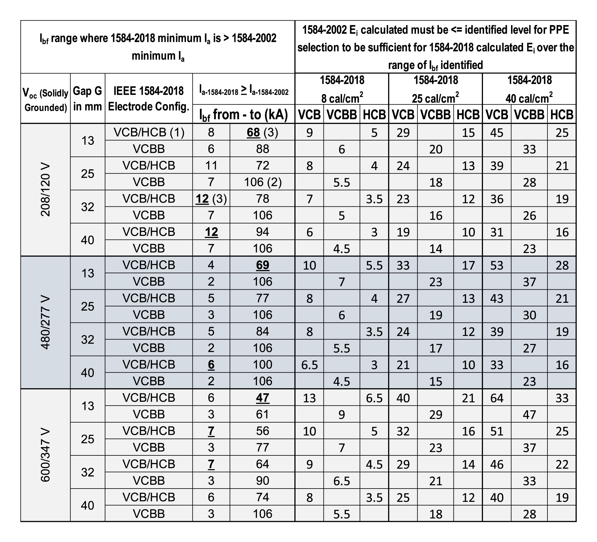
As shown in Figure 9, for VCBB, the incident energy depends on the exact bolted fault current. And for HCB, it is always worse. However, this assumes that the incident energy target performance is the same for the 2002 and the 2018 arc-flash studies.
In reality, there is a high likelihood that 2002 arc-flash studies resulted in PPE selections that could accommodate more incident energy than the actual exposure. Usually the PPE level selected or recommended is greater than the calculated incident energy. Typical values of PPE may be 8, 25, or 40 calories. The open question is whether the margin is big enough to cover the difference between the 2002 arc-flash calculations and what calculations using the new 2018 model would predict. As outlined in Figure 10, using the right graphs can help answer this question.


Notes
≥2.7kV 1584-2018 always yields lower Ia
This presentation is a based on a paper presented at the IEEE 2020 Electrical Safety Workshop in March 2020.